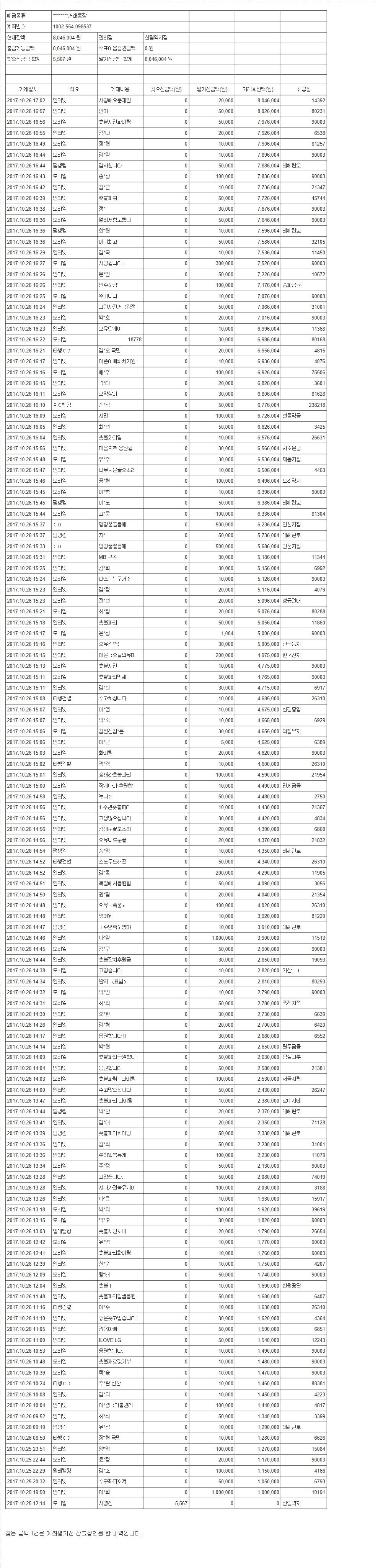
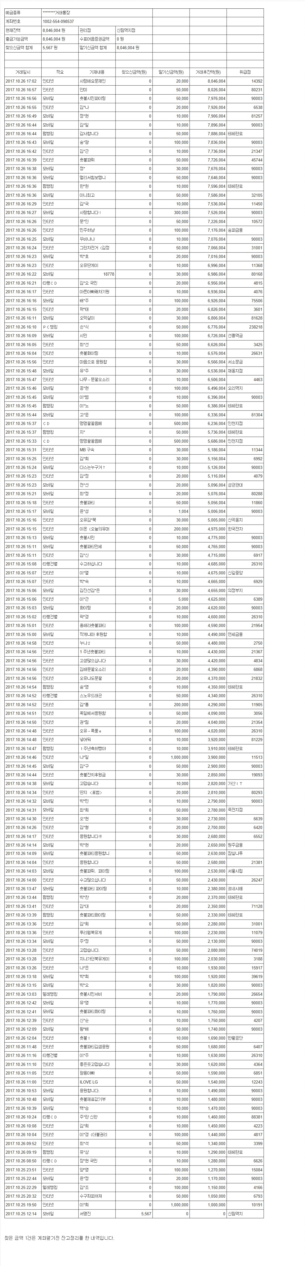
28일 여의도 촛불파티 후원내역 보고 10/26 17:02 기준 > 자유게시판

본문 바로가기
사이트 내 전체검색


회원로그인

네이버 아이디로 로그인 Sign in with googleSign in with kakao
자동로그인

28일 여의도 촛불파티 후원내역 보고 10/26 17:02 기준
justvonin
쪽지보내기 자기소개 아이디로 검색

작성일: 2017-10-26 17:49:27 조회: 511  /  추천: 4  /  반대: 0  /  댓글: 0 ]

본문


추천 4 반대 0

댓글목록

등록된 댓글이 없습니다.




리모컨

맨위로
 댓 글 
 목 록 
회사소개 개인정보처리방침 서비스이용약관 메일문의 Copyright © 딜바다닷컴 All rights reserved.
상단으로
모바일 버전으로 보기