관련링크
본문
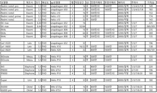
요즘 대륙폰에 관심이 있어서 살짝 정리해봤습니다.
프리미엄급은 성능도 좋지만 같은가격이면 국내제조사를 선택하는편이 나아 고려치않았습니다.
정리한 폰들정도가 스냅800 이상급성능을 내면서 가격이 국내폰 중고가와 차이가 크지않아 메리트가 있겠더라구요.
대륙폰의 장점으로는
1. 선택약정으로 요금할인 20%를 받을수 있습니다.
2. 비슷한 성능의 국산중고폰이 가격대가 비슷한데 오히려 새폰!
단점으로는
1. AS(직구가 아니고 오픈마켓판매자등을 거칠경우 1년 as를 지원하는경우도 있습니다)
2. 완벽하지 않은 호환성
3. 혹시모를 보안문제
정도가 인듯합니다.
언급했든 as를 위해 오픈마켓구매의경우 좀더 가격이 비쌀수있고 타오바오직구를 하면 제가 조사한가격보다 더 저렴할수도 있습니다. 첨부한 자료에서 가격의 기준은 aliexpress입니다.
참고로 LTE주파수는 SKT 가 1/3/5, KT가 1/3/8 LG가 1/5/7 입니다. 샤오미 노트3 프로의경우는 LTE사용에 있어서 3사 모두사용가능합니다만, LG의 경우 음성통신규격에 안맞을수 있어서 HD voice등 LTE를 이용한 통화가 지원이 안된다면 음성통화를 사용못할 수있으니 꼭 알아보고 사셔야합니다.
|
|
|
|
|
|
|
댓글목록
|
|
작성일
|
|
|
다좋은데 아무리 최신기존도 카메라가 갤3티이급.. | ||
|
|
작성일
|
|
|
대신 가격이 저렴하니까요! 그리고elephone의 m3같은경우는 2100만화소라 그래도 지3급은 나오지 않을까 생각해요 | ||
|
|
작성일
|
|
|
정보 고맙습니다 ! | ||
|
|
작성일
|
|
|
저 역시 감사합니다! | ||
|
|
작성일
|
|
|
수고하셨습니다 ㅎㅎ | ||
|
|
작성일
|
|
|
감사합니다~~ 나중에 좀더 다듬어서 업데이트랑 할예정이에요 | ||
|
|
작성일
|
|
|
구입 하시고 알뜰폰 반값요금제 쓰시면 좋아요
| ||
|
|
작성일
|
|
|
맞아요 ㅠㅠ 근데 저같은경우는 온가족무료에 묶여서 알뜰폰가면 위약금이 쎄게 나오는 상황이라 약정할인이 최선이었습니다 말씀해주신대로 일반적인 상황이라면 알뜰폰이 좋지요! | ||
|
|
작성일
|
|
|
정보감사합니당 | ||
|
|
작성일
|
|
|
감사합니다 ^^ | ||
|
|
작성일
|
|
|
카메라가 너무아쉬운...ㅠ | ||
|
|
작성일
|
|
|
카메라 스펙에서 화소만 적어두었지만 실은 다른 참고할만한것도 있었어요. 카메라 모듈이 삼성제품이라고 광고하던 제품도 있었구요 | ||
|
|
작성일
|
|
|
수고하셨습니다 중국폰들도 거의 일체형으로 나오는군요 써글..;
| ||
|
|
작성일
|
|
|
넵 아직 부족한 정보들이 꽤 있습니다. 나중에 다른모델 추가, 알게되는 정보가 있으면 마저 더 추가할예정이에요! | ||
|
|
작성일
|
|
|
종합적으로 볼 때
| ||
|
|
작성일
|
|
|
저역시도 우선순위는 홍미노트3프로입니다. 어머니폰 베티아가 약정끝에 gps고장중이라 효도르용으로 2기가 제꺼 3기가 모델로 구매할것인가를 고민하고있어요 CM13호환성 같은건 어떤가요? 금융앱이랄지요. | ||
|
|
작성일
|
|
|
언루팅하고 뱅킹앱 잘 됩니다. | ||
|
|
작성일
|
|
|
정보 좋네요 | ||
|
|
작성일
|
|
|
감사합니다! | ||


